山西天镇辛窑子早更新世犀科化石新材料
董为, 白炜鹏, 张立民

The first description of Rhinocerotidae (Perissodactyla, Mammalia) from Xinyaozi Ravine in Shanxi, North China
DONG Wei, BAI Wei-Peng, ZHANG Li-Min
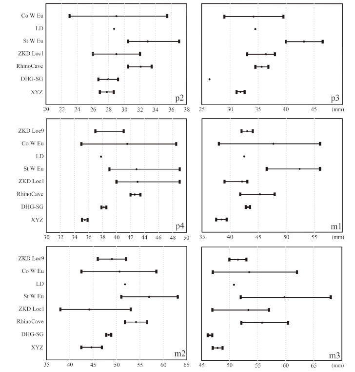
</td> </tr> <tr> <td style="text-align: center;color:#fff;" bgcolor="#00c2de"><strong>Fig. 6</strong> <b>Length range comparison of lower cheek teeth from selected localities </b><br/> Abbreviations and data sources: ZKD Loc9, <i>Coelodonta antiquitatis </i> from Locality 9 at Zhoukoudian (<xref ref-type="bibr" rid="b42">Teilhard de Chardin, 1936</xref>); Co W Eu, <i>C. antiquitatis </i> from West Europe (<xref ref-type="bibr" rid="b24">Guérin, 1980</xref>); LD, <i>C. nihowanensis </i> from Longdan (<xref ref-type="bibr" rid="b38">Qiu et al., 2004</xref>); St W Eu, <i>Stephanorhinus kirchbergensis </i> from West Europe (<xref ref-type="bibr" rid="b24">Guérin, 1980</xref>); ZKD Loc1, <i>S. k. </i>from Locality 1 of Zhoukoudian (<xref ref-type="bibr" rid="b9">Chow, 1979</xref>); RhinoCave,<i> S. k. </i> from Shennongjia (<xref ref-type="bibr" rid="b49">Tong and Wu, 2010</xref>); DHG-SG, <i>S. k. </i>from Daheigou and Shigou in Nihewan Basin (<xref ref-type="bibr" rid="b48">Tong et al., 2014</xref>); XYZ, Xinyaozi Ravine<br/></td> </tr> <tr> <td height="5" bgcolor="#fff"></td> </tr> <tr> <td style="text-align: center;" bgcolor="#fff"> <img src="../2096-9899-59-4-273/img_6.png" onload="javascript:DrawImage(this,'800','600');" /> </td> </tr> <tr> <td height="5" bgcolor="#fff"></td> </tr> <tr> <td height="30"></td> </tr> </table> </BODY> </HTML>